Добави в бележник
Напиши мейл
Офертата е проблемна





|
Град: Плевен област Област: Плевен област Квартал: с.Бохот Вид имот: земеделска земя Акция: дава под наем Пусков срок: Готов |
Цена: 12 580 EUR за квадрат: 12580 EUR Чиста квадратура: 2718 кв. м. Обща квадратура: 2718 кв. м. Етаж: не от общо: не Изложение: всички |
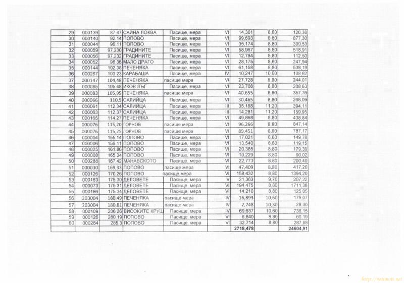
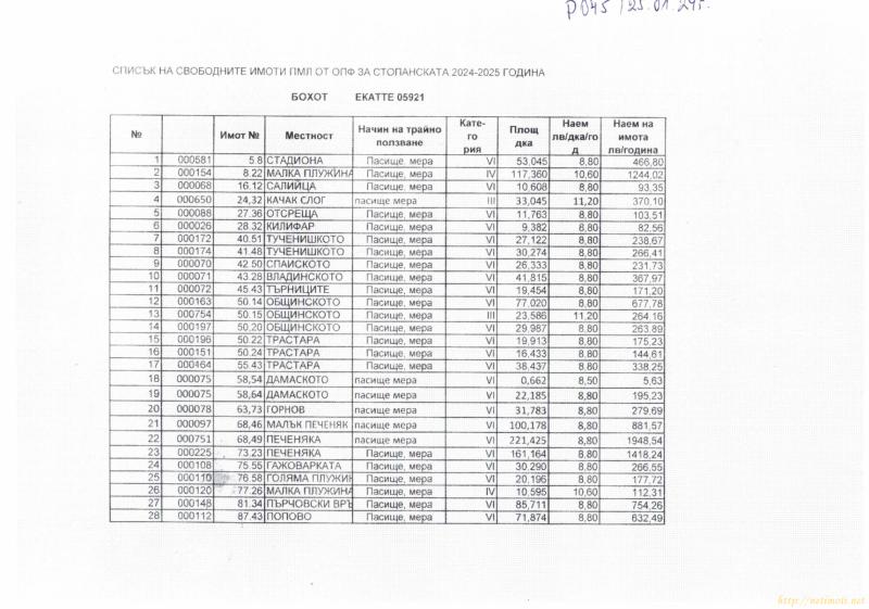
ОБЩИНА ПЛЕВЕН На основание на чл. 44, ал. 2 във връзка с ал. 1, т. 1 и 8 от ЗМСМА, чл. 14, ал. 2 и ал. 7 от ЗОС и чл. 37и, ал. 13 от ЗСПЗЗ, 104е от ППЗСПЗЗ и чл. 24а, ал. 5 от ЗСПЗЗ , по реда на чл. 24, ал. 1, чл. 76, т.3, чл. 80, ал. 1 и 2, чл. 85, ал. 1, т. 2 от Наредба № 7/2005 на Общински съвет Плевен за реда на придобиване, управление и разпореждане с общинско имущество (НРПУРОИ) Обявява Публични търгове с тайно наддаване чрез предварително представяне на предложения от участниците в администрацията на Община Плевен за отдаване под наем на свободни пасища, мери, ливади и нива от Общинския поземлен фонд, за срок от 1 календарна година, считано от 01.01.2025г. до 31.12.2025г., находящи се в следните землища: с. Бохот – 2718,478 дка, с. Бръшляница – 3104,789 дка, с. Горталово – 424,322 дка, с. Къртожабене – 476,709 дка, с. Ласкар – 394,176 дка, с. Николаево – 1117,240 дка, с. Опанец – 1158,506 дка, с. Върбица – 1994,253дка, с. Гривица – 1545,960дка, с. Мечка – 2661,696дка, гр. Плевен – 485,691, с. Радишево- 214,335 дка, с. Беглеж – 1325,367 дка, с. Брестовец – 1703,136 дка, с. Коиловци – 2130,050 дка, с. Ясен – 580,647 дка, с. Дисевица – 603,405 дка, с. Къшин – 846,213 дка, с. Ралево – 333,470 дка, с. Търнене – 993,682 дка и Ясен – 0,522 дка – нива. Търговете ще се проведат в Актовата на Община Плевен, ет. 1 на 16 и 17 декември 2024г., както следва: На 16.12.2024г. ще се проведат търговете за землищата на – с. Мечка от 9:30 часа, с. Върбица от 10:00 часа, гр. Плевен – 10:30 часа, с. Гривица – 11:00 часа, с. Бохот от 11:30 часа, с. Бръшляница от 12:00 часа, с. Ласкар от 13:00 часа, с. Николаево от 13:30 часа, с. Опанец от 14:00 часа, с. Горталово от 15:00 часа, с. Къртожабене от 15:30 часа и Ясен от 14:30 часа – нива. Тръжна документация се получава в Центъра за административно обслужване на граждани- Община Плевен, пл. „Възраждане” № 4 от 09.12.2024г. до 15:00 часа на 13.12.2024г. Предложения се подават на същото място от 09.12.2024г. до 16:00 часа на 13.12.2024г. На 17.12.2024г. ще се проведат търговете за землищата на – с. Радишево от 09:30 часа, с. Беглеж от 11:00 часа, с. Брестовец от 11:30 часа, с. Коиловци от 12:00 часа и с. Ясен от 13:00 часа, с. Дисевица от 13:30 часа, с. Къшин от 14:00 часа, с. Ралево от 14:30 часа и с. Търнене – 15:00 часа. Тръжна документация се получава в Центъра за административно обслужване на граждани - Община Плевен, пл. „Възраждане” № 4 от 09.12.2024г. до 15:00 часа на 16.12.2024г. Предложения се подават на същото място от 09.12.2024г. до 16:00 часа на 16.12.2024г. При липса на кандидати или на обявен спечелил участник, нови търгове ще се проведат на 07 и 08 януари 2025г., както следва: На 07.01.2025г. ще се проведат търговете за землищата - с. Мечка от 9:30 часа, с. Върбица от 10:00 часа, гр. Плевен – 10:30 часа, с. Гривица – 11:00 часа, с. Бохот от 11:30 часа, с. Бръшляница от 12:00 часа, с. Ласкар от 13:00 часа, с. Николаево от 13:30 часа, с. Опанец от 14:00 часа с. Горталово от 15:00 часа, с. Къртожабене от 15:30 часа и Ясен от 14:30 часа – нива. Тръжна документация се получава в Центъра за административно обслужване на граждани - Община Плевен, пл. „Възраждане” № 4 от 17.12.2024г. до 15:00 часа на 06.01.2025г. Предложения се подават на същото място от 17.12.2024г. до 16:00 часа на 06.01.2025г. На 08.01.2025г. ще се проведат търговете за землищата на – с. Радишево от 09:30 часа, с. Беглеж от 11:00 часа, с. Брестовец от 11:30 часа, с. Коиловци от 12:00 часа, с. Ясен от 13:00 часа, с. Дисевица от 13:30 часа, с. Къшин от 14:00 часа, с. Ралево от 14:30 часа и с. Търнене от 15:00 часа. Тръжна документация се получава в Центъра за административно обслужване на граждани при Община Плевен, пл. „Възраждане” № 4 от 18.12.2024г. до 15:00 часа на 07.01.2025г. Предложения се подават на същото място от 18.12.2024г. до 16:00 часа на 07.01.2025г. Цена на тръжната документация – 50,00 лв. (без ДДС) и се внася на касата в Центъра за административно обслужване при Община Плевен, пл. “Възраждане”, №4. Оглед на имотите се извършва след закупуване на тръжна документация, всеки работен ден до изтичане на срока за подаване на предложенията. Предвижда се депозит за участие в търга в размер на 10% от определената начална тръжна цена, умножена по площта на имота в декари.
Препоръчваме при контакт да уточните, че сте видяли тази информация в Портал за недвижими имоти netimoti.net с цел актуализирането на офертата!
По този начин, продавача или купувача на имота, ще може да редактира данните и да ги актуализира ако има промяна.
Ново търсене за:
дава под наем - Плевен област - с.Бохот - земеделска земя »
или ново търсене за: дава под наем - Плевен област - с.Бохот »
или ново търсене за: дава под наем - Плевен област - земеделска земя »
или корекция на критериите за търсене »
Компютри, монитори, лаптопи:
Тонер касети и ремонт на принтери
Място за Вашата реклама в Портал за недвижими имоти NETIMOTI.NET
Администрация и поддръжка на сайта:
София Компютърс ЕООД : компютри, монитори, лаптопи, телефони, таблети, принтери и скенери: поправка на компютри, ремонт на компютри, ремонт и поправка на лаптопи, компютърни услуги и сервиз за компютри
Изработка на сайта, Web Design и оптимизация: DGP; 2008y. Remake: 2013y.
Този сайт използва „бисквитки“ (cookies). Разглеждайки съдържанието на сайта, Вие се съгласявате с нашите условия за ползване и използването на „бисквитки“.
Съгласен съм